The median test is one of the simplest and most widely used procedure for testing the Ho that the independent sample have been drawn from the population with equal median value. This process is a non-parametric testing procedure.
Assumptions of Median Test
There are some assumptions,
- The date consist of two independent random samples x1,x2,…,xn and y1,y2,…,yn of size n1 and n2 respectively.
- Scale of measurement is at least ordinal.
- Samples are drawn independently.
- If the population have the same median, then for each population, the probability P is the same that an observed value will exceed the grand median.
Hypothesis of Median Test
Null hypothesis: H0 : The two population are identical.
Vs
Alternative hypothesis: H1 : Ho is not true.
Test Statistic Median Test
If the two population have the same median, we would expect about half of observation in each of the two samples to be above the common median and about half to be low.
Under the Ho the two population median are equal, we may estimate the common parameter by estimating. the median of the sample values by combining two samples of size (n1 + n2). If Ho is true we expect about half of observation in each sample to fall above the combine sample median. And about half to fall below. The median test allow us to conclude on the basis of sample data whether it is likely that the Ho is false.
The usual test statistic is,
Here,
A= number of observation from sample -1 falling above the median.
B= number of observation from sample-2 falling above mean
n1 = 1stSample size
n2= 2ndsample size
Conclusion
If the combined sample size N = (n1+n2) is such that Np and N (1-P) are larger than 5 and if Ho is true is approximately distributed as mean zero and variance one therefore the conclusion can be made as usual by following the level of significance q= 0.0s the CV is ± 1.96 and for α= 0.01 the CV is ± 2.58
Mathematical Example
The following data give the marks obtained in a test of a certain subject by two groups A and B consisting of 32 and 16 student respectively. Test whether these data provide sufficient evidence to indicate that the median of the two population from which two group of students are selected are same. Consider α= 0.05
Marks obtained by Group A Student.
25,25,17,26,18,30,24,21,13,30,20,23,26,19,20,37,9,17,37,20,11,32,16,31,46,20,25,17,36,54,8,26
Marks obtained by Group B students :
31,21,38,19,38,41,62,28,43,42,30,20,29,13,32,30
Solution:
Ho : The population median of marks of two groups are equal.
Vs
H1: Ho is not true.
Combining two sample :
8,9,11,12,13,16,16,17,17,17,18,19,20,20,20,20,20,20,21,21,23,24,25,25,25,26,26,28,29,30,30,30,31,31,39,39,36,37,37,38,38,41,42,43,46,54,68
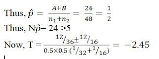
Median = (25+25)/2=25
From A the number of marks above median mark is 12, A= 12
From B the number of marks above median mark 12 ; B= 12
The calculated value is in the critical Region then we may reject our null hypothesis at 5% level of significance. Thus, Median are not equal.
See other non-parametric Test:
